家电维修找哪家?沪上477家正规家电维修企业名单来了!
家用电器“罢工”,路边维修游击队不靠谱怎么办?
市商务委公布2020年品牌家电企业售后维修服务热线及授权维修服务网点名单,以及2020年行业协会推荐的477家正规维修企业名单,分布在本市各区,营业地址、联系电话等信息一应俱全。有需要的小伙伴可以收藏哦!
2020年品牌家电企业售后维修服务热线及授权维修服务网点名单
(以下图片均可点击看大图哦!)
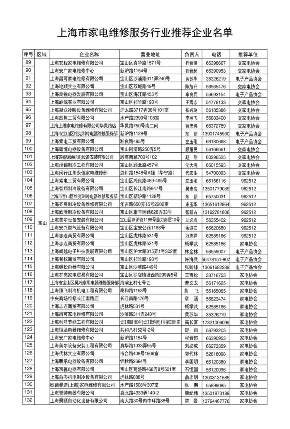
2020年行业协会推荐家电维修企业名单
(以下图片均可点击看大图哦!)
收藏!沪上39家正规家电维修企业名单来啦
炎炎夏日
家里的空调、冰箱坏了本已糟心
如果再遇上“李鬼”维修就更是心累……
你是否也有过这样的经历:在网上搜索、信箱广告卡片上找到的所谓正规企业竟是“李鬼”维修,这些“黑家维”中更有甚者注册了正规商家已停用的“400”或“800”客服电话,混淆视听。
别急~~
市消保委近日公布了
上海39家正规家电维修企业名单
↓涉及的都是家中常见品牌↓
选择正规家电维修TIPS
1.尽量通过品牌官网或标注“维修热线安全认证”字样的企业,切勿轻信社区信箱广告卡片。
2.向各家电卖场的品牌专柜询问、核实正规家电维修企业信息。
3.维修前,注意核对上门服务人员身份信息,明确具体收费项目及服务标准;维修后,及时索取单据和正规发票。
(来源:上海市消保委)
相关问答
上海剃须刀维修点都有哪些?_住范儿家装官网
1、上海市鑫生剃须刀电话机维修服务社地址:上海市虹口区宝山路888弄12号406室2、上海市中央商场维修有限公司(徐汇店)地址:上海市大木桥路88号3...
上海热水器维修公司哪家好?-设计本有问必答
推荐上海众德家电维修服务有限公司,这家的话是会提供给松下的电器的,而且就是维修技术是很高的。另外的话是乐万家燃气具上海维修中心,而且就是这家...
艾美特电风扇上海维修点?
1上海有多个艾美特电风扇维修点,可以方便地找到2艾美特电风扇在使用过程中可能会出现一些故障,如风扇不转或不稳定等,需要维修。在上海,艾美特电风扇的官方...
上海百联电器维修靠谱吗?
当然靠谱,上海百联是上海市重点商业单位,本市门店一百八十多家,浙江江苏门店三百多家,几乎覆盖了长三角所有市,上海百联电器维修部也是百联旗下直属维修部。...
上海美的电器维修部都有哪些?
[回答]A美的电器(永盛路专卖店)地址:嘉定区永盛路2792号(永盛路与...B美的电器体验店沪Z0038地址:上海市奉贤区C美的电器股份有限公司地址...
上海哪里有维修电视机的地方?
[回答]上海万国五金电器批发市场地址:北京东路851上海鸿达五金电器机电设备综合批发部地址:真北路2653号新光彩商品建材批发市场10区26-27号上海电视...
上海利民家电制冷维修部怎么样?
很好。上海利民家电制冷维修部以顾客至上,城实守信,服务热情,信誉至上,维修技术上乘,对待毎位客户都很认真,是值得信赖的企业。很好。上海利民家电制冷维修部...
上海飞利浦搅拌机维修点?
飞利浦家用电器上海特约维修服务中心合肥路217号021-6328100563361025不知道他们修理这个型号的搅拌机吗?你电话问下先飞利浦家用电器上海特约维修服务...
上海哪里有任天堂游戏机维修点-ZOL问答
我家的NDSL充电很困难,想要修,问下上海哪里有任天堂游戏机维修点游戏机任天堂讨论回答(6)其他品牌可以维修吗?普陀区石泉路97弄7号101,菜鸟棚电玩这个基本...
上海国美电器商店有华为平板电脑维修?
最好是到华为官网,京东商城或者华为天猫旗舰店购买最好是到华为官网,京东商城或者华为天猫旗舰店购买
